
Rice Science ›› 2020, Vol. 27 ›› Issue (4): 345-354.DOI: 10.1016/j.rsci.2020.05.009
• Research Paper • Previous Articles
Vijayaraghavareddy Preethi1,2, Xinyou Yin2, C. Struik Paul2, Makarla Udayakumar1, Sreeman Sheshshayee1(
)
Received:2019-06-12
Accepted:2019-10-24
Online:2020-07-28
Published:2020-03-31
Vijayaraghavareddy Preethi, Xinyou Yin, C. Struik Paul, Makarla Udayakumar, Sreeman Sheshshayee. Responses of Lowland, Upland and Aerobic Rice Genotypes to Water Limitation During Different Phases[J]. Rice Science, 2020, 27(4): 345-354.
Add to citation manager EndNote|Ris|BibTeX
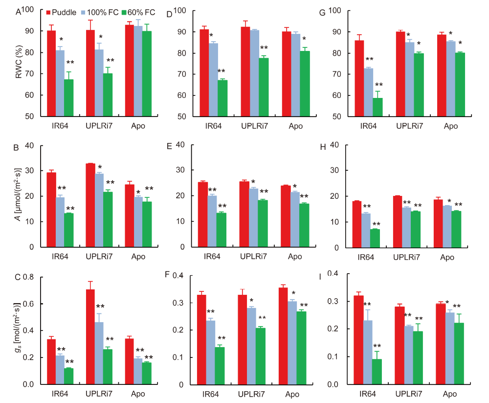
Fig. 1. Effects of water limitation on various physiological characteristics of three contrasting genotypes.A, Relative water content (RWC) at the vegetative stage (GSI). B, Photosynthetic rate (A) at GSI. C, Stomatal conductance (gs) at GSI. D, RWC at the flowering stage (GSII). E, A at GSII. F, gs at GSII. G, RWC at the grain filling stage (GSIII). H, A at GSIII. I, Stomatal conductance (gs) at GSIII.FC, Field capacity. Data indicate Mean ± SE (n = 5). * and ** indicate significant differences from puddle at the 0.05 and 0.01 levels within genotypes, respectively.
Supplemental Fig. 1. Effect water limitation on SPAD value at GSI, GSII and GSIII in rice genotypes.Water limitation effect on SPAD value in lowland IR64, upland UPL Ri7 and aerobic Apo genotypes due to stress at (a) GSI, (b) GSII and (c) GSIII stage. Error bars indicates the standard error of mean. *Significantly different from puddle P ≤ 0.05 and ** P ≤ 0.01 level within genotype.
| Stage | TLA in IR64 | TLA in UPLRi7 | TLA in Apo | ||||||||
|---|---|---|---|---|---|---|---|---|---|---|---|
| Puddle | 100% FC | 60% FC | Puddle | 100% FC | 60% FC | Puddle | 100% FC | 60% FC | |||
| GSI | 2431.7 | 2 110.7** | 1 026.8** | 1 839.6 | 1 396.5** | 965.5** | 1 977.4 | 2 019.7 | 1 240.5** | ||
| GSII | 2221.9 | 2 151.8 | 2 197.6 | 2 155.9 | 2 033.4 | 2 076.6 | 2 067.9 | 2 079.7 | 1 947.5 | ||
| GSIII | 2410.6 | 2 463.0 | 2 384.3 | 1 779.4 | 1 747.6 | 1 706.0 | 1 913.4 | 1 957.4 | 1 903.4 | ||
| Stage | TBM in IR64 | TBM in UPLRi7 | TBM in Apo | ||||||||
| Puddle | 100% FC | 60% FC | Puddle | 100% FC | 60% FC | Puddle | 100% FC | 60% FC | |||
| GSI | 35.38 | 29.43** | 20.47** | 31.25 | 25.18** | 20.05** | 32.87 | 24.63** | 19.95** | ||
| GSII | 39.52 | 37.43 | 34.97* | 33.19 | 32.45 | 30.63 | 36.68 | 35.94 | 34.85 | ||
| GSIII | 34.87 | 32.89 | 28.59* | 33.83 | 32.28 | 29.72* | 36.06 | 35.58 | 32.6 | ||
Table 1 Effects of water limitation on total leaf area (TLA, cm2/plant) and total biomass (TBM, g/plant).
| Stage | TLA in IR64 | TLA in UPLRi7 | TLA in Apo | ||||||||
|---|---|---|---|---|---|---|---|---|---|---|---|
| Puddle | 100% FC | 60% FC | Puddle | 100% FC | 60% FC | Puddle | 100% FC | 60% FC | |||
| GSI | 2431.7 | 2 110.7** | 1 026.8** | 1 839.6 | 1 396.5** | 965.5** | 1 977.4 | 2 019.7 | 1 240.5** | ||
| GSII | 2221.9 | 2 151.8 | 2 197.6 | 2 155.9 | 2 033.4 | 2 076.6 | 2 067.9 | 2 079.7 | 1 947.5 | ||
| GSIII | 2410.6 | 2 463.0 | 2 384.3 | 1 779.4 | 1 747.6 | 1 706.0 | 1 913.4 | 1 957.4 | 1 903.4 | ||
| Stage | TBM in IR64 | TBM in UPLRi7 | TBM in Apo | ||||||||
| Puddle | 100% FC | 60% FC | Puddle | 100% FC | 60% FC | Puddle | 100% FC | 60% FC | |||
| GSI | 35.38 | 29.43** | 20.47** | 31.25 | 25.18** | 20.05** | 32.87 | 24.63** | 19.95** | ||
| GSII | 39.52 | 37.43 | 34.97* | 33.19 | 32.45 | 30.63 | 36.68 | 35.94 | 34.85 | ||
| GSIII | 34.87 | 32.89 | 28.59* | 33.83 | 32.28 | 29.72* | 36.06 | 35.58 | 32.6 | ||
| Stage | Plant height (cm) | Number of tillers | Stem weight (g/plant) | |||||||||||||||||
|---|---|---|---|---|---|---|---|---|---|---|---|---|---|---|---|---|---|---|---|---|
| IR64 | UPLRi7 | Apo | IR64 | UPLRi7 | Apo | IR64 | UPLRi7 | Apo | ||||||||||||
| 100% FC | 60% FC | 100% FC | 60% FC | 100% FC | 60% FC | 100% FC | 60% FC | 100% FC | 60% FC | 100% FC | 60% FC | 100% FC | 60% FC | 100% FC | 60% FC | 100% FC | 60% FC | |||
| GSI | 15.9 | 35.0 | 10.1 | 25.4 | 22.1 | 29.1 | 15.5 | 29.3 | 12.0 | 25.3 | 15.4 | 12.6 | 13.8 | 43.2 | 10.1 | 7.8 | 16.5 | 32.4 | ||
| GSII | 1.1 | 4.3 | 4.7 | 8.4 | 7.4 | 5.2 | 2.9 | 2.9 | 3.8 | 2.5 | 1.4 | 2.9 | 4.7 | 4.2 | 6.8 | 13.2 | -0.8 | 1.2 | ||
| GSIII | 5.4 | 6.2 | 6.0 | 9.0 | 1.3 | 2.2 | 2.9 | 5.5 | -1.2 | 5.0 | 2.9 | 1.4 | 15.8 | 19.4 | 7.5 | 13.9 | 6.8 | 11.2 | ||
Supplemental Table 1. Effect of water limitation on total plant height, number of tillers and stem weight.
| Stage | Plant height (cm) | Number of tillers | Stem weight (g/plant) | |||||||||||||||||
|---|---|---|---|---|---|---|---|---|---|---|---|---|---|---|---|---|---|---|---|---|
| IR64 | UPLRi7 | Apo | IR64 | UPLRi7 | Apo | IR64 | UPLRi7 | Apo | ||||||||||||
| 100% FC | 60% FC | 100% FC | 60% FC | 100% FC | 60% FC | 100% FC | 60% FC | 100% FC | 60% FC | 100% FC | 60% FC | 100% FC | 60% FC | 100% FC | 60% FC | 100% FC | 60% FC | |||
| GSI | 15.9 | 35.0 | 10.1 | 25.4 | 22.1 | 29.1 | 15.5 | 29.3 | 12.0 | 25.3 | 15.4 | 12.6 | 13.8 | 43.2 | 10.1 | 7.8 | 16.5 | 32.4 | ||
| GSII | 1.1 | 4.3 | 4.7 | 8.4 | 7.4 | 5.2 | 2.9 | 2.9 | 3.8 | 2.5 | 1.4 | 2.9 | 4.7 | 4.2 | 6.8 | 13.2 | -0.8 | 1.2 | ||
| GSIII | 5.4 | 6.2 | 6.0 | 9.0 | 1.3 | 2.2 | 2.9 | 5.5 | -1.2 | 5.0 | 2.9 | 1.4 | 15.8 | 19.4 | 7.5 | 13.9 | 6.8 | 11.2 | ||
| Stage | IR64 | UPLRi7 | Apo | ||||||||
|---|---|---|---|---|---|---|---|---|---|---|---|
| Puddle | 100% FC | 60% FC | Puddle | 100% FC | 60% FC | Puddle | 100% FC | 60% FC | |||
| GSI | 29.24 | 24.54 (16.1)* | 18.97 (35.1)** | 20.36 | 16.76 (17.7)* | 13.90 (31.7)** | 28.59 | 26.86 (6.0) | 23.94 (16.2)* | ||
| GSII | 27.20 | 19.24 (29.2)** | 13.40 (50.7)** | 19.06 | 15.18 (20.3)** | 10.27 (46.1)** | 26.56 | 21.95 (17.4)* | 16.91 (36.3)** | ||
| GSIII | 27.90 | 22.91 (16.6)* | 16.03 (41.6)** | 16.80 | 14.20 (15.4)* | 11.36 (32.4)** | 26.72 | 25.42 (4.8) | 24.10 (9.8)* | ||
Table 2 Yield for the three contrasting genotypes at different growth stages and stress treatments. g/plant
| Stage | IR64 | UPLRi7 | Apo | ||||||||
|---|---|---|---|---|---|---|---|---|---|---|---|
| Puddle | 100% FC | 60% FC | Puddle | 100% FC | 60% FC | Puddle | 100% FC | 60% FC | |||
| GSI | 29.24 | 24.54 (16.1)* | 18.97 (35.1)** | 20.36 | 16.76 (17.7)* | 13.90 (31.7)** | 28.59 | 26.86 (6.0) | 23.94 (16.2)* | ||
| GSII | 27.20 | 19.24 (29.2)** | 13.40 (50.7)** | 19.06 | 15.18 (20.3)** | 10.27 (46.1)** | 26.56 | 21.95 (17.4)* | 16.91 (36.3)** | ||
| GSIII | 27.90 | 22.91 (16.6)* | 16.03 (41.6)** | 16.80 | 14.20 (15.4)* | 11.36 (32.4)** | 26.72 | 25.42 (4.8) | 24.10 (9.8)* | ||
Fig. 2. Effects of stress on spikelet fertility and root length among the genotypes.A, Spikelet fertility at vegetative stage. B, Spikelet fertility at flowering stage. C, Spikelet fertility at grain filling stage. D, Root length at vegetative stage. E, Root length at at flowering stage. F, Root length at at grain filling stage.FC, Field capacity. Data indicate Mean ± SE (n = 5). * and ** indicate significant differences from puddle at the 0.05 and 0.01 levels within genotypes, respectively.
Supplemental Fig. 2. Effect water limitation on root weight (RW) at GSI, GSII and GSIII in rice genotypes.Water limitation impact on root weight in lowland IR64, upland UPLRi7 and aerobic Apo genotypes due to stress at (a) GSI, (b) GSII and (c) GSIII stage. Error bars indicates the standard error of mean. *Significantly different from puddle at P ≤ 0.05 and ** P ≤ 0.01 level within genotype.
Fig. 3. Linear regression among reductions in several traits.A, Linear regression of reductions in assimilation rate (A) and yield. B, Linear regression of reductions in total leaf area (TLA) and yield. C, Linear regression of reductions in computed A and yield. D, Linear regression of reductions in assimilation rate (A) and spikelet fertility (SF).GSI, Vegetative stage; GSII, Flowering stage; GSIII, Grain filling stage.Reduction in yield over puddle was calculated for the means under 100% and 60% field capacity. ** indicates significance at the 0.01 level.
| [1] | Babitha K C, Vemanna R S, Nataraja K N, Udayakumar M. 2015. Overexpression of EcbHLH57 transcription factor from Eleusine coracana L. in tobacco confers tolerance to salt, oxidative and drought stress. PLoS One, 10(9): e0137098. |
| [2] | Boonjung H, Fukai S. 1996. Effects of soil water deficit at different growth stages on rice growth and yield under upland conditions: 2. Phenology, biomass production and yield. Field Crops Res, 48(1): 47-55. |
| [3] | Bouman B. 2009. How much water does rice use? Managment, 69: 115-133. |
| [4] | Bouman B A M, Tuong T P. 2001. Field water management to save water and increase its productivity in irrigated lowland rice. Agric Water Manag, 49(1): 11-30. |
| [5] | Çakir R. 2004. Effect of water stress at different development stages on vegetative and reproductive growth of corn. Field Crops Res, 89(1): 1-16. |
| [6] | Dharmappa P M, Doddaraju P, Malagondanahalli M V, Rangappa R B, Mallikarjuna N M, Rajendrareddy S H, Ramanjinappa R, Mavinahalli R P, Prasad T G, Udayakumar M, Sheshshayee S M. 2019. Introgression of root and water use efficiency traits enhances water productivity: An evidence for physiological breeding in rice ( Oryza sativa L.). Rice, 12(1): 14. |
| [7] | IRRI.1997. Rice Almanac. 2nd edn. Los Banos, the Philippines: International Rice Research Institute. |
| [8] | Jagadish K S V, Kavi Kishor P B, Bahuguna R N, von Wiren N, Sreenivasulu N. 2015. Staying alive or going to die during terminal senescence: An enigma surrounding yield stability. Front Plant Sci, 6: 1070. |
| [9] | Jin Y, Yang H X, Wei Z, Ma H, Ge X C. 2013. Rice male development under drought stress: Phenotypic changes and stage-dependent transcriptomic reprogramming. Mol Plant, 6(5): 1630-1645. |
| [10] | Kadam N N, Yin X, Bindraban P S, Struik P C, Jagadish K S. 2015. Does morphological and anatomical plasticity during the vegetative stage make wheat more tolerant of water deficit stress than rice? Plant Physiol, 167(4): 1389-1401. |
| [11] | Kadiyala M D M, Mylavarapu R S, Li Y C, Reddy G B, Reddy M D. 2012. Impact of aerobic rice cultivation on growth, yield, and water productivity of rice-maize rotation in semiarid tropics. Agron J, 104(6): 1757-1765. |
| [12] | Madani A, Shirani-Rad A, Pazoki A, Nourmohammadi G, Zarghami R, Mokhtassi-Bidgoli A. 2010. The impact of source or sink limitations on yield formation of winter wheat ( Triticum aestivum L.) due to post-anthesis water and nitrogen deficiencies. Plant Soil Environ, 56(5): 218-227. |
| [13] | Mackill D J, Khush G S. 2018. IR64: A high-quality and high- yielding mega variety. Rice, 11(1): 18. |
| [14] | Nguyen H T, Babu R C, Blum A. 1997. Breeding for drought resistance in rice: Physiology and molecular genetics consideration. Crop Sci, 37(5): 1426-1434. |
| [15] | Nishimura S, Yonemura S, Sawamoto T, Shirato Y, Akiyama H, Sudo S, Yagi K. 2008. Effect of land use change from paddy rice cultivation to upland crop cultivation on soil carbon budget of a cropland in Japan. Agric Ecosyst Environ, 125: 9-20. |
| [16] | O’Toole J C, Hsiao T C, Namuco O S. 1984. Panicle water relations during water stress. Plant Sci Lett, 33(2): 137-143. |
| [17] | Ouyang W J, Struik P C, Yin X Y, Yang J C. 2017. Stomatal conductance, mesophyll conductance, and transpiration efficiency in relation to leaf anatomy in rice and wheat genotypes under drought. J Exp Bot, 68(18): 5191-5205. |
| [18] | Praba M L, Cairns J E, Babu R C, Lafitte H R. 2009. Identification of physiological traits underlying cultivar differences in drought tolerance in rice and wheat. J Agron Crop Sci, 195(1): 30-46. |
| [19] | Raju B R, Narayanaswamy B R, Mohankumar M V, Sumanth K K, Rajanna M P, Mohanraju B, Udayakumar M, Sheshshayee M S. 2014. Root traits and cellular level tolerance hold the key in maintaining higher spikelet fertility of rice under water limited conditions. Funct Plant Biol, 41(9): 930-939. |
| [20] | Ramu V S, Swetha T N, Sheela S H, Babitha C K, Rohini S, Reddy M K, Tuteja N, Reddy C P, Prasad T G, Udayakumar M. 2016. Simultaneous expression of regulatory genes associated with specific drought-adaptive traits improves drought adaptation in peanut. Plant Biotechnol J, 14(3): 1008-1020. |
| [21] | Roitsch T. 1999. Source-sink regulation by sugar and stress. Curr Opin Plant Biol, 2(3): 198-206. |
| [22] | Sarvestani Z T, Pirdashti H, Sanavy S A M M, Balouchi H. 2008. Study of water stress effects in different growth stages on yield and yield components of different rice ( Oryza sativa L.) genotypes. Pak J Biol Sci, 11(10): 1303-1309. |
| [23] | Selote D S, Khanna-Chopra R. 2004. Drought-induced spikelet sterility is associated with an inefficient antioxidant defence in rice panicles. Physiol Plant, 121(3): 462-471. |
| [24] | Serraj R, Sinclair T R, Purcell L C. 1999. Symbiotic N2 fixation response to drought. J Exp Bot, 50(331): 143-155. |
| [25] | Sheshshayee M S, Bindumadhava H, Shankar A G, Prasad T G, Udayakumar M. 2003. Breeding strategies to exploit water use efficiency for crop improvement. J Plant Biol, 30(2): 253-268. |
| [26] | Sheshshayee M S, Vijayaraghavareddy P, Sreevathsa R, Rajendrareddy S, Arakesh S, Bharti P, Dharmappa P, Soolanayakanahally R. 2018. Introgression of physiological traits for a comprehensive improvement of drought adaptation in crop plants. Front Chem, 10(6): 92. |
| [27] | Shi W J, Li X, Schmidt R C, Struik P C, Yin X Y, Jagadish S V K. 2018. Pollen germination and in vivo fertilization in response to high-temperature during flowering in hybrid and inbred rice. Plant Cell Environ, 41(6): 1287-1297. |
| [28] | Turk K J, Hall A E, Asbell C W. 1980. Drought adaptation of cowpea: I. Influence of drought on seed yield. Agron J, 72(3): 413-420. |
| [29] | Udayakumar M, Rao R C N, Wright G C, Ramaswamy G C, Ashok R S, Gangadhar G C, Hussain I S A. 1998. Measurement of transpiration efficiency in field conditions. Plant Physiol Biochem, 1: 69-75. |
| [30] | Uphoff N, Kassam A, Harwood R. 2010. SRI as a methodology for raising crop and water productivity: Productive adaptations in rice agronomy and irrigation water management. Paddy Water Environ, 9(1): 3-11. |
| [31] | Vijayaraghavareddy P, Vanitha P, Vemanna R, Sheshshayee M S, Makarla U. 2017. Quantification of membrane damage/cell death using Evan’s blue staining technique. Bio-Protocol, 7(16): e2519. |
| [32] | Yang J C, Huang D F, Duan H, Tan G L, Zhang J H. 2009. Alternate wetting and moderate soil drying increases grain yield and reduces cadmium accumulation in rice grains. J Sci Food Agric, 89(10): 1728-1736. |
| [33] | Yang X L, Wang B F, Chen L, Li P, Cao C G. 2019. The different influences of drought stress at the flowering stage on rice physiological traits, grain yield, and quality. Sci Rep, 9(1): 3742. |
| [34] | Zeigler R S, Puckridge D W. 1995. Improving sustainable productivity in rice-based rainfed lowland systems of South and Southeast Asia. GeoJournal, 35(3): 307-324. |
| [35] | Zhang J Y, Broeckling C D, Sumner L W, Wang Z Y. 2007. Heterologous expression of two Medicago truncatula putative ERF transcription factor genes, WXP1 and WXP2, in Arabidopsis led to increased leaf wax accumulation and improved drought tolerance, but differential response in freezing tolerance. Plant Mol Biol, 64(3): 265-278. |
| [1] | JI Dongling, XIAO Wenhui, SUN Zhiwei, LIU Lijun, GU Junfei, ZHANG Hao, Tom Matthew HARRISON, LIU Ke, WANG Zhiqin, WANG Weilu, YANG Jianchang. Translocation and Distribution of Carbon-Nitrogen in Relation to Rice Yield and Grain Quality as Affected by High Temperature at Early Panicle Initiation Stage [J]. Rice Science, 2023, 30(6): 12-. |
| [2] | Lu Xuedan, Li Fan, Xiao Yunhua, Wang Feng, Zhang Guilian, Deng Huabing, Tang Wenbang. Grain Shape Genes: Shaping the Future of Rice Breeding [J]. Rice Science, 2023, 30(5): 379-404. |
| [3] | Md. Dhin Islam, Adam H. Price, Paul D. Hallett. Effects of Root Growth of Deep and Shallow Rooting Rice Cultivars in Compacted Paddy Soils on Subsequent Rice Growth [J]. Rice Science, 2023, 30(5): 459-472. |
| [4] | Sheikh Faruk Ahmed, Hayat Ullah, May Zun Aung, Rujira Tisarum, Suriyan Cha-Um, Avishek Datta. Iron Toxicity Tolerance of Rice Genotypes in Relation to Growth, Yield and Physiochemical Characters [J]. Rice Science, 2023, 30(4): 321-334. |
| [5] | Jiang Hongzhen, Wang Yamei, Lai Liuru, Liu Xintong, Miao Changjian, Liu Ruifang, Li Xiaoyun, Tan Jinfang, Gao Zhenyu, Chen Jingguang. OsAMT1.1 Expression by Nitrate-Inducible Promoter of OsNAR2.1 Increases Nitrogen Use Efficiency and Rice Yield [J]. Rice Science, 2023, 30(3): 222-234. |
| [6] | Zhou Longfei, Meng Ran, Yu Xing, Liao Yigui, Huang Zehua, Lü Zhengang, Xu Binyuan, Yang Guodong, Peng Shaobing, Xu Le. Improved Yield Prediction of Ratoon Rice Using Unmanned Aerial Vehicle-Based Multi-Temporal Feature Method [J]. Rice Science, 2023, 30(3): 247-256. |
| [7] | Ernieca Lyngdoh Nongbri, Sudip Das, Karma Landup Bhutia, Aleimo G. Momin, Mayank Rai, Wricha Tyagi. Differential Expression of Iron Deficiency Responsive Rice Genes under Low Phosphorus and Iron Toxicity Conditions and Association of OsIRO3 with Yield in Acidic Soils [J]. Rice Science, 2023, 30(1): 58-69. |
| [8] | Liu Yantong, Li Ting, Jiang Zhishu, Zeng Chuihai, He Rong, Qiu Jiao, Lin Xiaoli, Peng Limei, Song Yongping, Zhou Dahu, Cai Yicong, Zhu Changlan, Fu Junru, He Haohua, Xu Jie. Characterization of a Novel Weak Allele of RGA1/D1 and Its Potential Application in Rice Breeding [J]. Rice Science, 2022, 29(6): 522-534. |
| [9] | Yousef Alhaj Hamoud, Hiba Shaghaleh, Wang Ruke, Willy Franz Gouertoumbo, Amar Ali Adam hamad, Mohamed Salah Sheteiwy, Wang Zhenchang, Guo Xiangping. Wheat Straw Burial Improves Physiological Traits, Yield and Grain Quality of Rice by Regulating Antioxidant System and Nitrogen Assimilation Enzymes under Alternate Wetting and Drying Irrigation [J]. Rice Science, 2022, 29(5): 473-488. |
| [10] | Oyebanji O. Alagbo, Oluyemisi A. Akinyemiju, Bhagirath S. Chauhan. Weed Management in Rainfed Upland Rice Fields under Varied Agro-Ecologies in Nigeria [J]. Rice Science, 2022, 29(4): 328-339. |
| [11] | Chen Wei, Cai Yicong, Shakeel Ahmad, Wang Yakun, An Ruihu, Tang Shengjia, Guo Naihui, Wei Xiangjin, Tang Shaoqing, Shao Gaoneng, Jiao Guiai, Xie Lihong, Hu Shikai, Sheng Zhonghua, Hu Peisong. NRL3 Interacts with OsK4 to Regulate Heading Date in Rice [J]. Rice Science, 2022, 29(3): 237-246. |
| [12] | Luo Haowen, He Longxin, Du Bin, Pan Shenggang, Mo Zhaowen, Yang Shuying, Zou Yingbin, Tang Xiangru. Epoxiconazole Improved Photosynthesis, Yield Formation, Grain Quality and 2-Acetyl-1-Pyrroline Biosynthesis of Fragrant Rice [J]. Rice Science, 2022, 29(2): 189-196. |
| [13] | Balija Vishalakshi, Bangale Umakanth, Ponnuvel Senguttuvel, Makarand Barbadikar Kalyani, Prasad Madamshetty Srinivas, Rao Durbha Sanjeeva, Yadla Hari, Madhav Maganti Sheshu. Improvement of Upland Rice Variety by Pyramiding Drought Tolerance QTL with Two Major Blast Resistance Genes for Sustainable Rice Production [J]. Rice Science, 2021, 28(5): 493-500. |
| [14] | Rakotoson Tatiana, Dusserre Julie, Letourmy Philippe, Frouin Julien, Ramonta Ratsimiala Isabelle, Victorine Rakotoarisoa Noronirina, Cao Tuong-Vi, Vom Brocke Kirsten, Ramanantsoanirina Alain, Ahmadi Nourollah, Raboin Louis-Marie. Genome-Wide Association Study of Nitrogen Use Efficiency and Agronomic Traits in Upland Rice [J]. Rice Science, 2021, 28(4): 379-390. |
| [15] | Guangchen Zhang, Zimeng Liu, Youhong Liu, Noriyuki Kuya, Yuchen Hua, Hongru Shi, Weilin Zhao, Yuqing Han, Toshio Yamamoto, Wenfu Chen, Jian Sun. iTRAQ-Based Proteomics Investigation of Critical Response Proteins in Embryo and Coleoptile During Rice Anaerobic Germination [J]. Rice Science, 2021, 28(4): 391-401. |
| Viewed | ||||||
|
Full text |
|
|||||
|
Abstract |
|
|||||